凯发旗舰厅官网_凯发一触即发官网

凯发旗舰厅官网_凯发一触即发官网 咨询热线:

欧式 >>当前位置: 首页 > 装修设计 > 欧式

科研仪器 锁相检测技术的原理与发展现状

时间:2026-02-05 19:04:24

  锁相放大器技术于20世纪30年代问世[1,2,3],并于20世纪中叶投入商业应用[4]。这种电子仪器能够在噪声极强的环境中提取出信号的幅值和相位信息(见图1)。锁相放大器采用零差检测方法和低通滤波技术,通过对照一个周期性的参考信号来测量待测信号的幅值和相位。锁相测量方法能够提取出以参考频率为中心的特定频段内的信号,有效滤除所有其他频率分量。如今,市面上性能最优的锁相放大器具有高达120 dB的动态储备[5],可以在噪声幅值高达待测信号幅值百万倍的情况下实现精准测量。

  图 1. 锁相放大器可对照一个固定的参考信号,测量出待测信号的幅值和相位,即使该信号已经完全被噪声掩盖。

  几十年来,随着这项技术的不断发展,研究人员已经将锁相放大器应用于诸多不同领域。其中最为重要的用途是作为精密交流电压表和交流相位计、噪声测量装置、阻抗谱仪、网络分析仪、频谱分析仪以及锁相环中的鉴相器。相关的科研领域几乎包括了所有空间尺度和温度条件,例如在全日光条件下观测日冕[6]、测量分数量子霍尔效应[7],或者对分子中各个原子间的键合特性进行直接成像[8]。锁相放大器的应用范围极为广泛。它与频谱分析仪和示波器一样,是物理、工程和生命科学领域的各种实验系统中一件极为常用、必不可少的工具。与大多数功能强大的工具一样,要想充分发挥锁相放大器的价值并成功设计各种实验,用户必须充分了解其工作原理及特性。

  本文将简要说明锁相放大技术的工作原理和最为重要的测量设置,相关说明将同时从时域和频域角度展开。此外,本文还将详细说明如何利用信号调制,实现在保持较短采集时间的同时提高信噪比(SNR)。最后,我们还将讨论最近在锁相检测技术领域中出现的创新成果及该技术的最新发展水平。

  锁相放大器利用信号的时间相关性将信号从嘈杂背景中提取出来。首先,锁相放大器会将输入信号与参考信号相乘(这一过程有时又称下混频或外差/零差检测),然后通过一个可调低通滤波器对相乘后的结果进行滤波。这种方法称为解调或相敏检测,可以将目标频率的信号分离出来,并滤掉所有其他频率分量。参考信号可由锁相放大器自身生成,也可由外部信号源提供给锁相放大器和实验设备。参考信号通常为正弦波,但也可以采用其他波形。如果采用纯正弦波进行解调,就可以有选择性地在基频或其任意谐波的频率处进行测量。有些仪器使用方波[9]作为参考信号,但这会同时捕捉到信号的所有奇次谐波,因而可能引入系统性的测量误差。

  为了帮助大家更好地理解锁相检测技术,下文将分别从时域和频域两个角度来介绍混频和滤波过程。

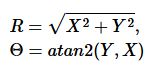
  如图2所示,在典型试验中,通常使用正弦信号来激励被测设备。锁相放大器将利用设备响应信号Vs(t)和参考信号Vr(t)来确定幅值R和相位θ。这一过程是通过图2(b)中所示的双相解调电路实现的。输入信号将被拆分成两路,并分别与参考信号及其90度相移信号相乘。混频器的输出信号经可调低通滤波器滤波,得到X和Y两个输出,分别称为同相分量和正交分量。通过下式将笛卡尔坐标X和Y转换为极坐标,即可轻松得到幅值R和相位θ。

  请注意,为了使相位角的输出范围覆盖全部四个象限,即(−π, π],我们使用了atan2函数,而不是atan函数。

  图 2. (a) 典型锁相测量过程的示意图。使用正弦信号来驱动被测设备(DUT),并将其作为参考信号用于后续测量。锁相放大器将对被测设备的响应进行分析,并对照参考信号,输出目标信号的幅值和相位。(b) 锁相放大过程的示意图:输入信号分别与参考信号及其90度相移信号相乘。混频器输出经低通滤波后,将滤除噪声和2ω分量,并最终转化为极坐标。

  如图2(b)所示,为了使用两个不同的相位对输入信号进行解调,锁相放大器必须将输入信号拆分。与模拟仪器相比,利用数字技术拆分信号可以避免SNR下降和通道不匹配的问题。

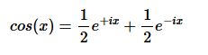
  我们可以运用复数,以一种简洁的数学形式表达解调过程中的计算。利用基本三角函数定律

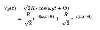
  我们可以将输入信号Vs(t)重新表示为复平面上两个矢量之和,这两个矢量的长度均为R/√2,以相同角速度ωs旋转,但一个顺时针旋转,另一个逆时针旋转:

  从图3(a)和(b)可以看出,两个矢量在x轴上的投影之和(实部)正好是Vs(t),而矢量之和在y轴上的投影(虚部)始终为零。

  图 3. 在复平面中表示的解调过程。(a) 输入信号Vs(t)可表示为两个旋转方向相反的矢量之和。(b) 矢量在实轴x轴上的投影彼此叠加,而在虚轴y轴上的投影则相互抵消。(c) 在旋转坐标系中,逆时针方向的矢量保持静止,顺时针方向的矢量以观察者角速度的两倍旋转。请注意,依照惯例,如果逆时针旋转的矢量在参考信号之前,则θ为正值。

  得出的信号带有两个分量,分别位于信号频率与参考频率之和与两者之差处。如图3(c)所示,复混频相当于有一位身处原点,并以频率ωr沿逆时针方向旋转的观察者。

  在这位观察者看来,有两个箭头正分别以ωs-ωr 和ωs+ωr 这两个不同的角速度旋转,并且如果信号频率接近于参考频率,角速度为ωs+ωr的箭头会旋转得快得多。

  随后的滤波过程在数学上可表示为求出这两个时变矢量在一段时间内的平均值,并用尖角括号⟨…⟩来表示。在滤波过程中,通过设置⟨exp[-i(ωs+ωr)t+iθ]⟩=0,将ωs+ωr处的快速旋转项滤除。解调后的信号平均值变为:

  式7代表解调后的信号,也就是锁相放大器的主要输出,其中,绝对值Z=R表示信号的均方根幅值,辐角arg(Z)=θ表示输入信号相对于参考信号的相位。

  解调信号Z(t)的实部和虚部分别为同相分量X和正交分量Y。这两个分量可通过欧拉公式exp(iωst)≡cos(ωst)+i sin(ωst)计算得出:

  如图所示,ωs=ωr意味着逆时针旋转的箭头看起来静止不动。而另一个箭头则以两倍于频率的速度(-2ωs)顺时针旋转,这通常称为2ω分量。低通滤波器通常会将2ω分量完全滤除。

  图 4. (a)最大幅值为0.5 V的输入信号Vs(红色)与同频参考信号Vr(蓝色)相乘。(b)得出的信号带有一个直流偏移量和两倍于Vs和Vr频率的频率分量。直流偏移量的值为0.17 V,即输入信号的同相分量X。(c)输入信号Vs与不同频率的参考信号Vr相乘。(d)得出的信号带有两个频率分量fs-fr和fs+fr。信号的平均值始终为零。

  图4为信号在混频和滤波前后通过示波器显示出的不同状态。图4(a)所示为示例正弦信号Vs和Vr随时间变化的情况,两个信号频率相同,分别为ωs和ωr。图4(b)中的蓝线表示混频后的信号,主要为2ω分量。绿线表示滤波后的信号,仅留下直流分量,其值等于Vs的同相幅值X。如图4(c)所示,如果信号频率与参考频率不同,则混频后的信号将不再是简单的正弦波,并且滤波后的平均值为零,如图4(d)所示。这是一个典型的同步检测示例,它仅提取出与参考频率相干的信号,并滤除所有其他信号。

  我们将利用傅里叶变换[10],把视角从时域转向频域。傅里叶变换是线性变换,可将时域中频率为f0的正弦函数转换为频域中的狄拉克δ函数δ(f-f0),即在频谱中频率f0点处的单个峰值。由于任何周期性信号均可表示为正弦信号与余弦信号的叠加[11],因此对于由少量频谱分量组成的信号,我们通常可以非常直观地理解其变换过程。

  图 5. 解调前后信号时域图与频域图之间的关系。(a) 叠加了噪声的正弦输入信号与时间的关系。(b) (a)中的信号在频域中的表示。(c) 与参考信号混频(蓝线)并经过低通滤波(红线)后,fBW内的信号频谱得以保留。(d) 在频域中,混频过程将频率分量平移-fr。随后,滤波器以零点为中心提取宽度为fBW的窄带。请注意频率-fr处的分量,它是由输入信号中存在的偏移量和1/f噪声产生的。要获得准确的测量值,必须通过适当的滤波来抑制此分量。

  图5(a)是一个有噪正弦信号在时域中的表示,图5(b)是该信号经过傅里叶变换后在频域中的表示。该正弦信号在频谱中的+fs和-fs频率处都出现峰值。零频率处较小的峰值是由输入信号中的直流偏移量导致。图5(c)中的蓝线表示混频后的时域信号。其相关频谱如图5(d)所示,该图与图(b)基本一致,但向低频方向平移了相当于参考频率fr的距离。

  图(d)中用红色虚线表示的低通滤波过程将只允许频率低于特定滤波器带宽fBW的信号通过。(c)中的红线代表输出信号,包含(d)中所示频谱的直流分量与滤波器带宽f BW 内的噪声。从图中可以明显看出,滤波器带宽必须远小于信号频率f s ,才能有效抑制输入信号中的偏移量。在下面几节中,我们将进一步讨论如何根据具体的实验条件选择合适的滤波器特性。

  对于低通滤波,我们优先考虑的是它在频域上的表现,因为大多数滤波器的输入信号Qin(ω)与滤波后的信号Qout(ω)之间存在如下的简单关系:

  H(ω)表示滤波器的传递函数。Qin(ω)与Qout(ω)分别是时域中输入信号Qin(t)和输出信号Qout(t)的傅里叶变换。

  图 6. (a) 一阶RC滤波器及其传递函数。(b) 通过叠加多个RC滤波器,可以随着频率的增加表现出更陡峭的滚降特性。最终的传递函数由各滤波器的传递函数相乘得出。

  为了完全滤除频谱中不需要的部分,我们可能会想要找到一种理想的滤波器,它能够允许所有低于fBW的频率通过(即通带),并彻底滤除任何其他频率(即阻带)。然而遗憾的是,这样理想的“矩形滤波器”根本不可能实现,因为这种滤波器的脉冲响应在时间上从-∞延伸到了+∞,违背了因果性。我们只能达到与之基本类似的效果,为此我们采用如图6所示的RC滤波器。这种类型的滤波器在模拟域和数字域都很容易实现。模拟RC滤波器的传递函数可以用下式近似表示:

  其中,τ=RC称为滤波器的时间常数,R为电阻,C为电容。图7(a)和(b)中的蓝线是此传递函数的波特图,表示 20logH(2πf) 和 arg[H(2πf)] 与 log(f) 之间的函数关系。

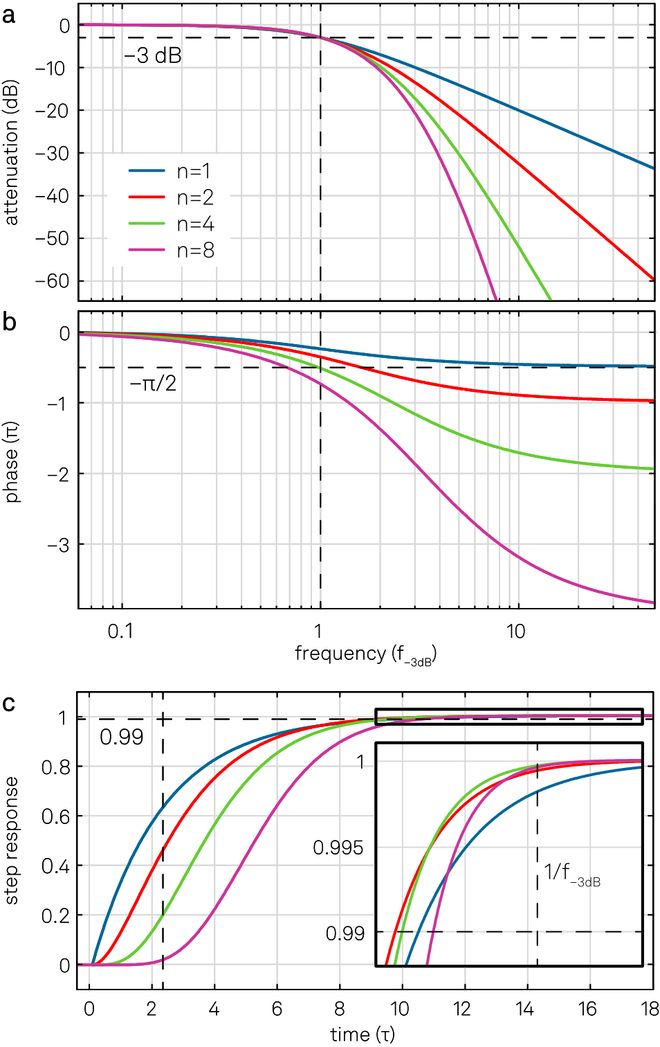
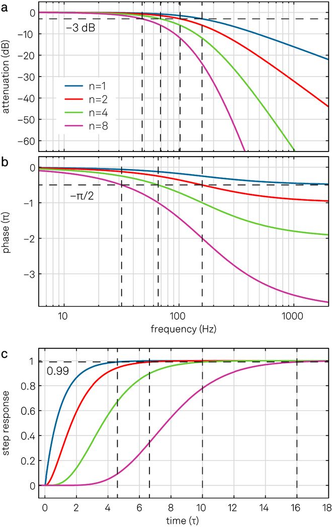
  从图7(a)中的蓝线可以推断出,当频率高于f−3dB时,频率每增加十倍,衰减就会增长十倍。这相当于6 dB/倍频程(20 dB/十倍频程),表示频率每增加一倍,幅值就会减少一半。截止频率f−3dB是指信号功率衰减−3 dB,即降低一半时的频率。幅值与功率的平方根成正比,在f-3dB处减小1/√2=0.707。

  图7. (a) 和 (b) 中的蓝线是RC滤波器传递函数H(ω)的波特图。图上还绘出了具有相同滤波器时间常数τ 的高阶滤波器(n=2,4,8)的传递函数,显然,高阶滤波器的信号带宽f−3dB要低得多。(c) 为时域中对应的阶跃响应函数。将多个滤波器级联会导致达到相同精度水平所需的稳定时间显著增加。这与相位延迟的增大(可以根据 (b) 推断得出)有关。级联RC滤波器或积分滤波器的另一个优点是在时域中不会出现过冲,而这是巴特沃斯滤波器等类型的滤波器存在的问题。

  式10所述滤波器的截止频率为f−3dB=1/(2πτ)。从图7(b)可以看出,低通滤波器还会引入与频率相关的相位延迟,其值等于arg[H(ω)]。

  相比理想化的矩形滤波器,一阶滤波器的滚降特性相对较差。为了改善滚降特性,通常会将多个滤波器级联。每增加一个滤波器,滤波器阶数会增加1阶。前一个滤波器的输出将作为下一个滤波器的输入,因此我们只需将滤波器的传递函数相乘即可。根据式9,我们可以得到n阶滤波器的传递函数如下:

  其衰减能力是一阶滤波器n倍,总滚降率为n×20 dB/十倍频程。图7(a)和(b)所示为一阶、二阶、四阶和八阶RC滤波器的频率响应。滤波器阶数越高,其幅值传递函数就越接近于理想矩形滤波器的特性。与此同时,相位延迟也会随阶数的增加而增加。对于那些利用相位信息对系统进行反馈控制的应用(例如锁相环),相位延迟增加可能会影响控制环路的稳定性和带宽。

  图8(a)和(b)显示了带宽同为f−3dB,但时间常数不同的各阶滤波器的波特图。表1给出了相应滤波器属性之间的数值关系。

  图8. 与图7相同的一组图表,但图8中所有滤波器的截止频率f−3dB相同,时间常数τ不同,分别为0.16、0.10、0.069、0.048。(a) 高阶滤波器可以随频率的增加表现出更陡峭的滚降特性。(b) 高阶滤波器的相位延迟较大,这可能不利于反馈应用。(c) 阶跃响应与时间之间的函数关系(以一阶滤波器的时间常数τ1为单位)。尽管低阶滤波器在开始时对输入信号变化的响应更为迅速,但这个优势会随时间的推移而逐渐减弱,在某一时间点,高阶滤波器甚至会超越低阶滤波器,如图所示。

  表 1. 具有相同时间常数的n阶RC滤波器的滤波特性。动态应用通常关注f−3dB和稳定时间,而在噪声测量中,确保fNEP正确则是获得准确结果的关键。通过上文给出的关系式,可以轻松计算出具有相同带宽但阶数不同的滤波器的滤波时间常数。

  在噪声测量应用中,滤波器的噪声等效功率带宽fNEP通常比它的3 dB带宽f−3dB更为重要。噪声等效功率带宽是指与目标滤波器传递的白噪声量相等的理想矩形滤波器的截止频率。表1列出了级联RC滤波器的fNEP与f−3dB之间的转换因子。

  将输入信号Vs(t)与参考信号√2 exp (−iωrt)混频后,输入信号的频谱平移了相当于解调频率ωr的距离,变为Vs(ω−ωr)。低通滤波过程将此信号乘以滤波器传递函数Hn(ω),对频谱进行进一步转换。解调信号Z(t)包含了以参考频率为中心的所有频率分量,并且这些分量根据滤波器响应进行加权,如下式所示:

  从该式不难看出,解调的作用类似于带通滤波器,它会提取出频谱内以fr为中心并在两侧各扩展f−3dB的部分。此外该式还表明,将解调信号经傅里叶变换后再除以滤波器传递函数,即可恢复输入信号在解调频率fr附近的频谱。这种频谱分析方式经常可以在FFT频谱分析仪中看到,有时我们将它称为zoomFFT[12]。

  如图7(c)和图8(c)所示,阶跃响应能最直观地体现出滤波器的时域特性。这两幅图展示了滤波器输入发生从0到1的阶跃式变化时出现的情况。滤波器输出需要经过一定的时间才能稳定在新值。要准确测量通过滤波器的信号,实验人员就必须等待足够长的时间,待输出稳定后再进行测量。

  表1列出了阶数不同但时间常数τ相同的滤波器达到最终值的63.2%、90%、99%和99.9%所需的时间。假设有一个1 MHz的信号,并且我们要使用以1 MHz为中心、带宽为1 kHz的四阶滤波器。根据表1中的数值,可以推导出时间常数为69 μs,并且达到1%误差所需的稳定时间为0.7 ms。

  设置解调带宽时,往往需要在时间分辨率与信噪比(SNR)之间做出权衡。我们以图9所示的调幅(AM)输入信号为例,看看如何满足不同实验问题的需求。该信号的载波频率为fc=ωc/2π,表达式如下:

  图 9. 调幅信号:绿线表示载波输入信号(为便于说明,图中以较低频率显示)。蓝线表示信号幅值,即输入信号的包络。

  按调制频率fm=ωm/2π,将信号幅值R(t)=1+h cos(ωmt)(图9中的蓝线上下进行调制,其中调制指数h表示调制强度。在此示例中,载波频率和调制频率分别设为fc=2 kHz和fm=100 Hz。

  图10(a)使用了图3给出的复数表示法,展示了混频后的调幅信号。信号的模1+h cos(ωmt)随时间变化,但其角度φc固定不变。cos(ωmt)项是旋转方向相反的两个矢量exp(iωmt)与exp(-iωmt)之和。这两个矢量代表调幅信号频谱的上边带和下边带,如图10(d)所示。图10(b)和(c)分别显示了正交分量和同相分量。

  图 10. (a) 在旋转参考系中,调幅信号是一个长度随时间变化的矢量。蓝色粗箭头表示瞬时信号;细箭头表示调幅信号的两个边带。(b) 和 (c) 显示了解调输入信号的正交分量和同相分量:蓝线为未滤波信号,黑色虚线、红色和青色线 Hz的已滤波信号。(d) 显示了三种不同带宽滤波后的解调信号频谱(黑色、红色和青色曲线)。

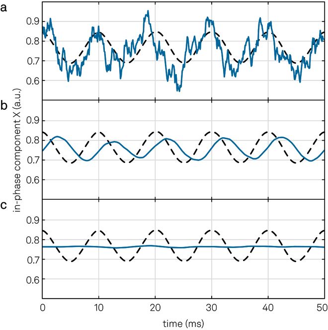
  对于第一种情况,我们希望解调信号能以fm的频率反映原先的幅值变化。这就要求滤波器带宽明显大于fm。例如,可以使用带宽f−3dB=500 Hz的四阶滤波器。这时根据式11和表1可以计算出,fm=100 Hz(即与载波fc相距100 Hz)处的传输率约为98.5%,相位延迟约为20°。换言之,滤波器对调制信号的影响微乎其微。解调信号如图10(b)和(c)中的黑色虚线所示。除所需的边带抑制/通过特性和相位延迟外,测量结果中的噪声量也是选择滤波器的一个重要标准。我们将对照图11(a)所示的,在解调后具有较强噪声的调幅信号说明这一点。图(b)为采用截止频率等于调制频率的滤波器对同一信号进行滤波后的结果。虽然此滤波器消除了大部分噪声,但在幅值与相位上引入了系统性变化,需要对此进行校正才能获得准确结果。

  图 11. (a) 输入信号带噪声时,生成的解调信号也将带有噪声(蓝线)。黑色虚线表示的是去除噪声后的底层信号。(b) 使用带宽f−3dB=fm=100 Hz的滤波器可以滤除大部分噪声,但会影响检测到的信号。(c) 同(b),但使用的是带宽f−3dB=fm/5=20 Hz的滤波器。

  对于上面提到的第二类需求,可以将滤波器带宽降低到低于fm的值,来滤除与边带对应的频率分量。f−3dB为20 Hz的四阶滤波器能够将边带的幅值抑制到原先的0.03,即降低30 dB,如图10(d)中的青色虚线(c)展示了这种高强度滤波对测量的影响。

  对于第三种情况,我们想知道的是调制指数h,但不需要解析完整的信号动态特性。例如在开尔文探针力显微鏡中,h衡量的是在频率为fm的交流电压作用下,于测量探针与样品之间产生的静电力大小。由于调制指数与边带幅值成正比,因此测量时可以在fc−fm和fc+fm处的边带周围应用窄带滤波器。这可以通过两种方法实现:串联解调或直接边带解调。

  串联解调指的是首先在中心频率附近进行宽频带解调。这一般可以得到与图11(a)所示相似的信号,随后该信号再次在fm处解调。要使用这种方法,所选择的调制频率就不能超过第一个锁相单元的最大解调带宽。直接边带解调指的是信号在fc±fm处一步完成解调,该方法下可选择的调制频率仅受锁相放大器频率范围的限制。此外,直接边带解调仅需使用一个锁相放大器而不是两个,因此通常是首选解调方法。

  降低滤波器带宽通常可以提高信噪比,但会导致时间分辨率下降。还有哪些其他方法可以提高信噪比?

  如果无法提高信号强度,则应尽可能减少或避免噪声。然而,任何模拟信号都难以避免地会带有来自各种来源的噪声。一些来自固有来源,例如约翰逊噪声(热噪声)、散粒噪声和闪烁噪声,还有一些来自技术性来源,例如接地环路、干扰、串扰、50–60 Hz噪声或电磁拾取。随机电压噪声Vnoise(t)的幅度通过其标准差表示。而在频域中,噪声通过其功率谱密度vn(ω)2表征(单位:V2/Hz),或由vn(ω)表征(单位:V/√Hz)。

  图 12. 典型实验的噪声频谱定性分析。测量频率应从背景噪声较小的区域中选择,避开由技术性噪声源引入的离散峰值。在本例中,如果滤波器带宽相同,则f2将产生比f1更好的结果,因为它位于低频率处1/f噪声上方的无干扰白噪声区域。

  从图12的定性频谱可以看出,不同噪声源具有不同的频率依赖性:约翰逊噪声在所有具实用价值的频率范围内都呈现平坦的频谱,构成了“白噪声”,而闪烁噪声则具有1/f的频率相关性(“粉红噪声”)。如果在调制频率的选择上有一定的自由度,则可以重点关注频谱中噪声水平最低的部分。通常,频谱中表现出白噪声特性的较高频率区域效果最理想。图12展示了这种思路:在频率较低的1/f噪声区域,滤波器内的噪声(由蓝色和灰域表示)更大。因此,在滤波器带宽相同时,f2处的信噪比要高于f1处的信噪比,原因在于前者的噪声密度更低(前提是避开了无线电和无线传输等其他噪声源)。

  为了更定量化地进行说明,我们假设要测量一个幅值为1μV的正弦信号,该信号通过一个1MΩ电阻,信噪比大于10。这样的电阻R会产生热噪声,功率谱密度=4kBTR,在室温 T=300 K时,该值约为

  =0.127√R nV/√Hz=127 nV/√Hz。在本例中,热噪声是主要噪声源。它明显大于锁相输入噪声(后者通常小于10 nV/√Hz)。因此,可按照下式计算信噪比:

  解方程求出fNEP,可以得知,要获得等于10的信噪比,就需要选择NEP带宽小于或等于620 mHz的滤波器。我们选择一个四阶滤波器。通过表1,可以计算出相应的截止频率f−3dB=549 mHz,时间常数τ=126 ms,达到1%误差的稳定时间为1.26 s。

  由于噪声幅值与带宽的平方根成正比,所以要将SNR再提高10倍,就需要将滤波器带宽减小到原来的百分之一。此时达到1%误差的稳定时间将增加到2分钟以上。锁相方法能够支持这类长时间测量,原因在于它对输入信号中直流偏移量的漂移不敏感。但是,其他原因(如被测设备电阻或放大器增益发生变化等)引起的漂移可能会对长时间测量产生影响。因此,保持工作条件稳定,特别是保持温度恒定是至关重要的。

  自20世纪30年代初问世以来,锁相放大器已经取得了长足的发展。早期的仪器采用的是真空管,而如今它已经完全进入了数字域。数字锁相放大器使用模数转换器(ADC)将输入信号转换到数字域,并且所有后续步骤都通过数字信号处理(DSP)以数字方式执行,如图13(b)所示。相比之下,模拟锁相放大器则使用压控振荡器、混频器和简单的RC滤波器等模拟元件进行信号处理。此外还有如图13(a)所示的混合版本[9],它在滤波之前或之后进行模拟混频,然后才将信号数字化。

  图 13. (a) 模拟锁相放大器:信号被拆分成两路,与参考信号混频,经滤波后转换为数字信号。(b) 数字锁相放大器:信号经数字化后与参考信号相乘并进行滤波。

  市面上的模数转换器(ADC)和数模转换器(DAC)在速度、分辨率和线性度方面的不断提升,进一步推动了锁相检测技术从模拟域向数字域的转变。这种转变可以帮助我们在频率范围、输入噪声和动态储备等方面突破极限。此外,数字信号处理更不易受到信号通道不匹配导致的误差,以及串扰和温度变化等原因引起的漂移等情况的影响。在频率较高的情况下,这一特性尤为重要。数字处理方式的最大优点是,我们能够在信噪比保持稳定的情况下,同时以多种手段对信号进行分析。如前文所述,这不仅有助于提高双相解调性能,还能够实现对信号的多个频率分量进行直接分析,而无需级联多台仪器,这就避免了可能随之而来的所有不利影响。

  从模拟域转向数字域后,市场上又出现了运算能力强、内存充足且速度高的现场可编程门阵列(FPGA)技术,推动创新再向前迈出了一大步。FPGA被很多人称为数字时代的钟表装置,人们可以灵活地对其进行编程,用它实时执行几乎任何信号处理任务。在锁相放大器上,使用此技术实现的一项自然的功能延伸是在解调前后增加时域与频域分析功能,这样就不再需要单独使用示波器和频谱分析仪来完成这些分析。此外,在同一台仪器内,我们还可以加入用于对低占空比信号进行分析的Boxcar平均器、用于反馈回路的PID和PLL控制器,以及用于实时处理测量数据的运算单元。所得测量信号可以随后传输至计算机进行进一步分析。如果需要通过模拟接口来连接另一台仪器,可以使用高分辨率数模转换器将来自不同功能单元的测量数据轻松转换回模拟域。

  图 14. 瑞士苏黎世仪器的锁相放大器是锁相技术领域最前沿技术的代表。这些设备支持不同的频率范围,可以很好地应用于从材料表征到光子学和量子技术的各类应用。GHFLI和SHFLI锁相放大器可分别测量从直流到1.8 GHz和8.5 GHz频率范围的信号,开创了微波频率锁相检测的先河。如图16所示,这些仪器都集成了大量功能,并搭载了先进的仪器控制软件LabOne®(参见图15)。

  图 15. 瑞士苏黎世仪器锁相放大器的LabOne®用户界面采用最新的Web浏览器技术,用户能够通过计算机或平板电脑等不同设备上的多个浏览器会话同时控制仪器。每个信号分析和控制工具都有专门的选项卡。部分功能以框图形式直观显示。

  瑞士苏黎世仪器的锁相放大器在速度与集成度方面居行业最先进水平。图14按输入带宽的高低,依次列出了该公司的所有锁相放大器。凭借卓越的模拟性能和功能全面的时域及频域分析工具,MFLI是低频测量领域尖端技术的代表[5]。2022年,瑞士苏黎世仪器推出了GHFLI和SHFLI,率先将锁相放大技术应用到微波频率领域。这两款仪器的工作频率很高,但输入噪声仅为3.5 nV/√Hz,动态储备高达100 dB[13]。图16展示了UHFLI的主要功能组件和它们之间的连接,也代表了各型仪器的高集成度[14]。过去需要一整个机架的仪器才能实现的功能,现在都集成在一台仪器中。

  图 16. 瑞士苏黎世仪器UHFLI的主要功能实体和它们之间的信号流。数字信号处理可以在仪器的FPGA内快速执行,也可以通过USB或1GbE接口,在运行仪器控制软件LabOne®的计算机上执行。仪器的主要功能组件包括8个双相解调器、1个带数字转换器(DIG)和FFT功能的示波器、1个具有PLL功能的PID模块、1个运算单元(AU)、1个带周期波形分析仪(PWA)的Boxcar平均器和1个脉冲计数器模块(CNT)。在信号生成方面,仪器提供正弦信号发生器(OSC)以及用于生成复杂信号形状的任意波形发生器(AWG)。标准配置以蓝色显示,而升级选件则以橙色显示。此外,在计算机上运行的LabOne控制软件还额外提供参数扫描仪、频谱分析仪、数值参数显示器、绘图仪、用于时域分析的数据采集模块和谐波分析仪。

  显然,图16中展示的丰富功能是无法通过前面板上的几个旋钮和按钮进行使用和控制的。因此,瑞士苏黎世仪器的所有锁相放大器均完全由计算机上运行的LabOne®软件来控制,该软件提供了如图15所示的图形用户界面,可以在任何安装了Web浏览器的设备上运行。参数扫描仪、数据采集模块(DAQ)和PID参数智能设定等高级工具都可以充分利用主机的处理能力,提高工作流程的效率。此外,LabOne还提供了针对Python、C、MATLAB®、LabVIEW™ 和编程接口,用户可以轻松将测量仪器集成到现有的实验控制环境中。

  特别声明:以上内容(如有图片或视频亦包括在内)为自媒体平台“网易号”用户上传并发布,本平台仅提供信息存储服务。

  比DeepSeek风暴还惨烈!一文读懂:华尔街“抛AI”妖风祸从何来?

  李亚鹏在嫣然医院年会上哽咽发言:我们应该可以渡过这个难关,并表示新址确定后将向社会公告募捐情况

  148-2!中国篮球最离谱比分诞生 全队仅1人得分 比227-37还夸张

  嫣然天使儿童医院举办年会,李亚鹏几度哽咽:我想我们应该是可以渡过这个难关,管虎、梁静、那英、董宇辉等人都曾捐款支持医院

  市场监管总局:对外卖行业补贴战等扰乱市场竞争秩序问题,及时开展行政约谈、划出监管红线

返回
 电话:0898-08980898
地址:海南省海口市  ICP备案编号:琼ICP备xxxxxxxx号
找我

全国统一服务热线7*24小时为您在线服务